近日,物理学顶级期刊《物理评论快报》(Physical Review Letters, PRL)发表了我校物理系卢海舟副教授课题组关于拓扑半金属量子输运理论的新工作,题目为 “Anomalous phase shift of quantum oscillations in 3D topological semimetals” (三维拓扑半金属中量子振荡的反常相移)。南方科技大学首次以第一单位与通讯单位在PRL上发表原创研究成果,课题组王春明研究助理教授为第一作者,卢海舟副教授为通讯作者,香港大学沈顺清教授为合作者。
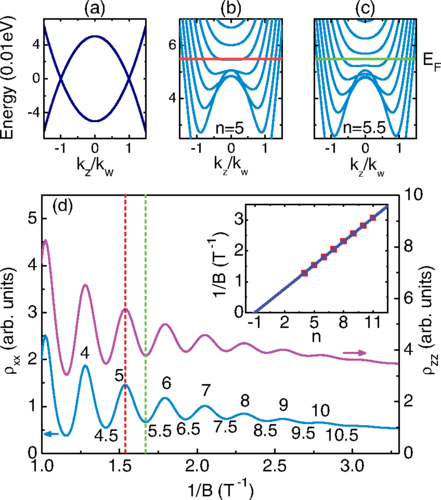
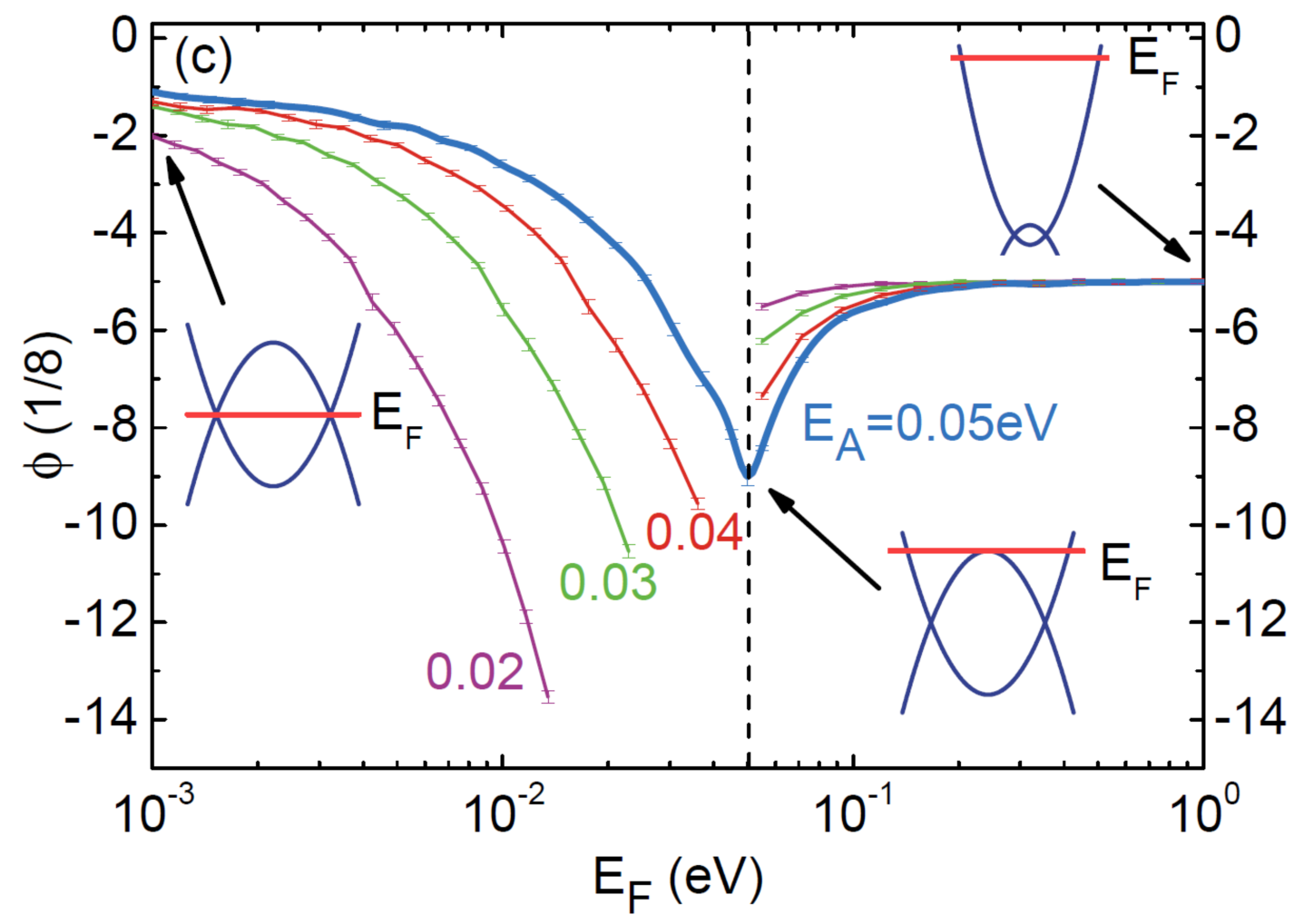
在强磁场下,金属中的电子气会发生朗道量子化,造成电阻的量子振荡(图1)。量子振荡是分析材料能带结构的重要手段之一。最近发现的拓扑半金属是一种新的物质态,具有对称性保护的拓扑磁单极及衍生的新奇拓扑物性(图2)。通过分析拓扑半金属的量子振荡,特别是相移 (Phase shift),可以帮助揭示拓扑半金属的能带和拓扑结构。但是,最近一系列实验都得到了无法理解的反常相移。并且,由于没有理论支持,不同实验在分析三维金属量子振荡数据时没有公认的方法。本工作提出了新的理论模型,通过系统的计算,对反常相移的产生提出了一种新的解释(图3),澄清了数据分析的规范,有希望推动该方向的进一步研究。文章审稿人对工作高度评价,在审稿报告中指出 “Determining the Landau indices of 3D materials is a highly nontrivial task, and the authors are one of the few groups in the world having sufficient theoretical expertise to perform this calculation correctly.”
PRL是美国物理学会最具曝光度的综合性期刊,以短文形式发表物理学所有方向最新的研究成果。其论文接收标准可以简单概括为开创新方向,解决难题,发展新方法,且需要引发广泛兴趣。物理评论快报的论文每2分钟就会获得一次引用。近年来,为提高论文水准,PRL将每年发文量从3500篇压缩至2700篇,进一步稳固了其顶级物理期刊的地位。
以上工作得到了科技部国家重点研发计划(2016YFA0301700),国家自然科学基金面上项目(11574127),南方科技大学科研启动经费,物理系公共计算机集群的支持。

图1:拓扑半金属的能谱朗道量子化和电阻量子振荡

图2:拓扑半金属和拓扑磁单极

图3:拓扑半金属量子振荡的反常相移
文章地址:http://journals.aps.org/prl/abstract/10.1103/PhysRevLett.117.077201